1、 DC-Link电容器应用
在过去多年的发展中,使用金属化膜以及膜上金属分割技术的DC
滤波电容得到了长足的发展,现在薄膜生产商开发出更薄的膜,同时改进了金属化的分割技术极大的帮助了这种电容的发展,聚丙烯
薄膜电容能够比电解电容更加经济地覆盖600VDC到2200VDC的电压范围.薄膜电容具有的许多优势,使它替代电解电容成为工业和电力电子功率变换市场的趋势.
这些优点包括了:
承受高的有效电流的能力
能承受两倍于额定电压的过压
能承受反向电压
承受高峰值电流的能力
长寿命,可长时间存储
但是,只种替代并非“微法对微法”的替代,而是功能上的替代.
当然,尽管膜电容技术有了长足的进展,但不是所有的应用领域都能替代电解电容.
电解电容技术
典型的电解电容的极限标称电压为500 到600V.所以在要求更高电压的情况下,使用者必须将多只电容串联使用.同时,由于各电容的绝缘电阻不同,使用者必须在每个电容上连接电阻以平衡电压.
此外,如果超过额定电压1.5倍的反向电压被加在电容上时,会引起电容内部化学反应的发生.如果这种电压持续足够长的时间,电容会发生爆炸,或者随着电容内部压力的释放电解液会流出.为了避免这种危险,使用者必须给每个电容并联一个二极管.
在特定应用中电容的抗浪涌能力也是考察电容的重要指标.实际上,对电解电容而言,允许承受的浪涌电压是 VnDC的1.15或1.2倍(更好的电解电容).这种情况迫使使用者不得不考虑浪涌电压而非标称电压.
直流支撑滤波:高电流设计和容值设计
a) 使用电池供电的情况
应用为电车或电叉车

在这种情况下,电容被用来退耦.膜电容特别适合这种应用.因为直流支撑电容的主要标准是有效值电流的承受能力.这意味着直流支撑电容能够以有效值电流来设计
以电车为例, 要求的数据
工作电压: 120VDC
允许的纹波电压: 4VRMS
有效值电流: 80 ARMS @ 20 kHz
较小容值为
通过上述近似式,我们能看出通过电容的有效值电流由负载功率Umax 和U ripple决定.
以下用一个具体的例子作解释
直流电压1000V, 纹波电压200V
I rms :(P=1MW) = 2468Arms
(P=500kW) = 1234Arms
(P=100kW) = 247Arms
将低频部分放大:
为了方便比较,我们选择电流承受能力为20mA每μF的电解电容
考虑到 0.2Arms/μF,有效值电流为2468A时,需要的较小容值为123.4mF.对应图中曲线的值,我们可以看到对频率低于100Hz的整流器,使用膜电容,该容值同样是需要的.
因此,对于三相,六整流管的整流器,频率为.我们可以看到对应 1MW的曲线,需要18.5mF的容值.与电解电容相比,如使用膜电容方案,体积几乎可以缩小4倍,同时有更高的可靠型.
在更低功率的情况下,同样能够给出相同的结果 , 对于10kW的功率,虽然容值变得很小, 但是膜电容仍然是理想的解决方案.
甚至在100Hz整流器频率,只需要555μF的电容,供电电压与纹波电压仍然与前面相同.

过压设计
现在我们来看轻型牵引的应用,如:地铁,轻轨,电车等.
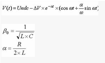
接触断开时,能量来自直流支撑电容,结果,电压降低.因此,只要接触重新被建立过压将出现.

更糟的情况是?V =吊线电压, 因为过压会达到额定电压的几乎2倍.膜电容可以承受这种过压.
电解电容可承受较大1.2倍的额定电压.所以,电解电容可以承受的较低电压为: 2X1000V/1.2=1670V需要四支450V的电解电容串联.
考虑部分从网上得到的数据,10mF的电解电容,体积为26升,较大有效值电流为20Arms.而相同容值的膜电容,体积为25 升,较大有效值电流可比500Arms还高.
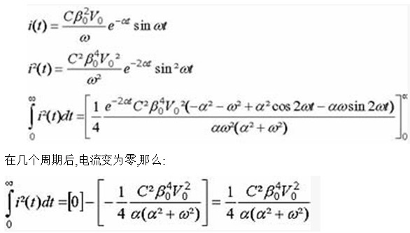
另外,由于过压的出现,也出现了流过电容的峰值电流.因此我们必须计算因过压产生的能量
这种能量的计算也被用于端间短路放电的过程..这样的放电会产生非常高的峰值电流与振铃,这是电解电容不能承受的.
电压的额定
对于要求高额定电压的场合,膜电容的解决方案无疑很有优势.
但如果要求高容值的场合,膜电容解决方案的竞争力就会减弱.的确,如果没有过压,有效值电流很低,同时需要大容值的场合,在900V以下的应用中,膜电容很难与电解电容竞争.
寿命计算:
膜电容允许有很长的寿命期望,其寿命的长短由负载电压条件(工作电压)与热点温度决定. 对于直流滤波电容,其寿命符合下面的曲线:
我们可以从这些曲线中看出,在工作电压为额定电压并且热点温度为70°C的情况下,膜电容的设计寿命为100,000小时.
寿命结束的标准为2%的电容容值的减少.然而,这是寿命结束的理论值,因为,在到达该点以后,电容仍然能够使用.如果在应用中允许5%的容值减少,寿命将得到显著的增加.
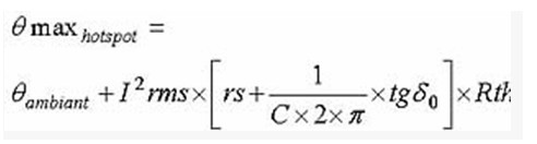
热点温度由下述的表达式决定:
其中,θmax hot spot :较大热点温度
tgδ0:电介质损耗
Rth:热阻
Rs:串联电阻
结论
以上我们为工程师进行设计优化提供了技术参考,在实际应用中仍然需要完整的计算.
然而,如果设计要求为低电压、低有效电流、无反向电压,同时也没有峰值电流,那膜电容技术不合适.
但如果设计要求为高电压、高有效电流、有反向电压和过压,同时也有峰值电流,还有长寿命要求,那么 聚丙烯金属化膜电容是理想的选择.
评论信息